This article is part of a series.
View all 17 parts
- Part 1 – The Hunter S. Thompson Board -- Arduino Mega Mini
- Part 2 – Make an ADXL345 Breakout Board
- Part 3 – Mega Mini Motor Shield (M^3)
- Part 4 – My Eagle PCB Walkthrough
- Part 5 – Populating and Programming and APM
- Part 6 – Incomplete Works
- Part 7 – HM-10
- Part 8 – Jot
- Part 9 – Homemade Pulse Sensor
- Part 10 – ATtiny Adventure -- I2C on ATtiny 84/85
- Part 11 – ATtiny Bitsy Spider
- Part 12 – Kobold
- Part 13 – Scarab
- Part 14 – The Valdez Mutant -- LPC1114 QFN
- Part 15 – This Article
- Part 16 – Lab Controller v05-09
- Part 17 – Robber Board
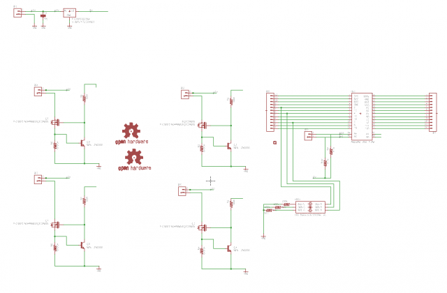
A little lab controller PCB I'm working on. It centers around four high-power constant current circuits meant to be driven by an Atmega328's PWM.
I hate working on anything mechanical in dim light; comes from dropping parts down under the engine when working on cars. I'm also pretty particular about my type of light. The "Cool White" or CFLs really bother me. I feel like I'm a bug headed towards a bug-zapper.
I have a few design goals,
- Warm white is the way to go. I'm shooting for four 1k lumen warm-white LEDs at 12v at ~1A.
- I've a plug for an Arduino Pro Mini (APM). It's hard to fight the APM when it comes to small footprint and versatility, oh, and price. They are super cheap if you buy them on eBay.
- I want to make a BLE serial interface using my HM-10. This would allow me to control my LEDs using my iOS devices. A few supporting posts,
- The A4 and A5 pins are broken out, this is meant to make the boards chainable using I2C.
The heart of the circuit is around a high-power constant current driver. I ripped the circuit from this fellows, somewhat, excellent post:
Here is my go at adding the circuit to a controller board,
Regarding how the circuit it works....black magic. Well, at least, that's how I understand it. I tried reading this excellent article but ended up deciding it was attempting to reason away what was obviously black magic.
I originally designed a minimal PCB to hold the circuit. I was hoping a small little board would allow me to attach it wherever needed,
Here's where it gets fun. See that red alligator clip so neatly gripping the leg of the 5V regulator, well, just keep it in mind when looking at our next exhibit.
Gross and note safe, right? C'est la vie, it has been working for a about a year this way.
BOM Time!
- 4 x 2N5088
- 4 x FQP40N06L
- 4 x 0.47 ohm resistor or 0.75ohm.
- 4 x 12v, 900mA (0.47ohm) or 12v, 600m A (0.75ohm)
- 1 x Arduino Pro Mini
- 1 x Big (size TBD) Electrolytic Capacitor
- 5 x 2-Pin Plug-in Screw Terminal Block Connector 5mm Pitch Panel PCB Mount
- 2 x 4.7k ohm 0805 resistor
- 4 x 10k ohm 0805 resistor
- 1 x 470 ohm 0805 resistor
- 2 x 330 ohm 0805 resistor
- 1 x 50-50 SMD RGB LED
- 1 x 5V SMD linear regulator MC7805CD2TR4 D2PAK
Anyway, the boards are at the fabricator, so I'll report back when I've populated and test them. I've already got ideas for iteration v2.